基於台灣全人口數據之高齡衰弱糖尿病精準照護策略
本中心發表的年度指標性研究,利用具有高度代表性的台灣全人口健保資料庫大數據,針對高齡化社會中常見且具高度臨床挑戰性的複雜共病問題——糖尿病合併慢性阻塞性肺病(COPD),進行了全球首見的衰弱分層分析。
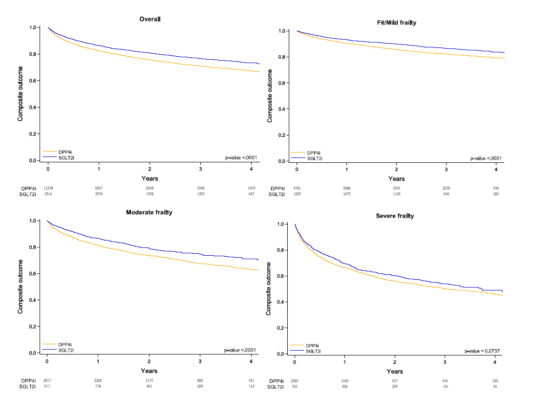
研究團隊創新地將「衰弱程度 (Frailty Status)」納入藥物效能評估體系,結果證實:在實際的台灣臨床場景中,SGLT2 抑制劑展現了卓越的跨器官保護效益。相較於 DPP-4 抑制劑,SGLT2 抑制劑不僅能顯著減少肺部併發症(肺炎與 COPD 急性惡化)的住院機率,更使患者的全死因死亡風險大幅降低 40% (HR 0.60) 。
這項源自台灣本土的實證研究,除確認 SGLT2 抑制劑與 GLP-1 受體致效劑於高齡共病族群中同具良好肺部保護效益外,亦為臨床醫師依據衰弱狀態進行個人化、精準用藥決策提供重要實證依據,成為本中心推動健康長壽與高齡科學研究的重要成果之一。本研究成果已發表於國際知名期刊【eClinicalMedicine】(Meng LC, et al., eClinicalMedicine. 2025 July;85:103332.)
圖、不同衰弱狀態下肺部複合事件之存活分析,係因糖尿病共病族群中肺部急性事件與衰弱及死亡風險高度相關,可藉由比較不同衰弱分層下藥物效果,回應糖尿病精準照護策略之臨床需求。


